MuTr Cathode Strip Run-V Calibration History by Packet in each Quadrant/Octant

MuTr Cathode Strip Run-V Calibration History by Packet in each Quadrant/Octant

Pedestals vrs Day Oct/Quad-1 Oct/Quad-2 Oct/Quad-3 Oct/Quad-4 Oct-5 Oct-6 Oct-7 Oct-8
South Sta-1
(11001-11040)
South Sta-2
(11041-11104)
South Sta-3
(11105-11168)
North Sta-1
(11171-11210)
North Sta-2
(11211-11282)
North Sta-3
(11283-11362)

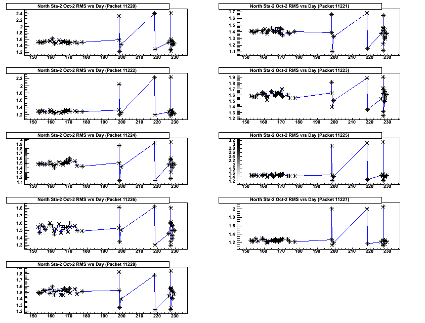
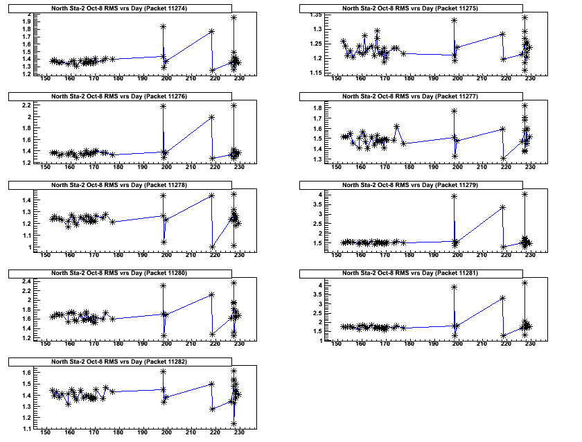
RMS vrs Day Oct/Quad-1 Oct/Quad-2 Oct/Quad-3 Oct/Quad-4 Oct-5 Oct-6 Oct-7 Oct-8
South Sta-1
(11001-11040)
South Sta-2
(11041-11104)
South Sta-3
(11105-11168)
North Sta-1
(11171-11210)
North Sta-2
(11211-11282)
North Sta-3
(11283-11362)

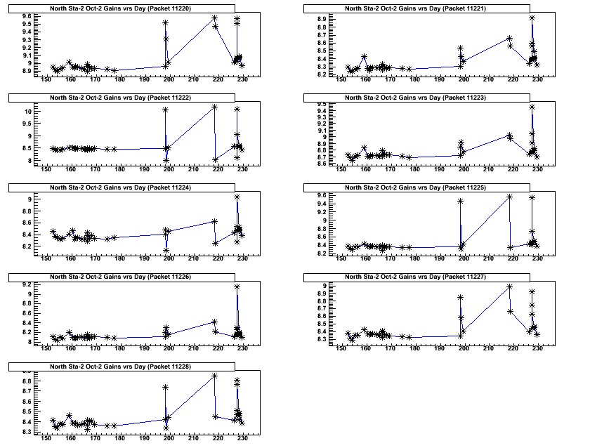
Gain vrs Day Oct/Quad-1 Oct/Quad-2 Oct/Quad-3 Oct/Quad-4 Oct-5 Oct-6 Oct-7 Oct-8
South Sta-1
(11001-11040)
South Sta-2
(11041-11104)
South Sta-3
(11105-11168)
North Sta-1
(11171-11210)
North Sta-2
(11211-11282)
North Sta-3
(11283-11362)

Mike Leitch (leitch@lanl.gov)
David Silvermyr (silvermy@lanl.gov)